My master thesis describes (pedestrian) dynamics analysis of the crowd which tries to escape from room. To study that I applied computational molecular dynamics simulations of gas disks, their interaction reminds characteristic movement of pedestrians in public places.
My research is based on an evacuation dynamics model proposed by Dirk Helbing, a professor at the Federal Institute of Technology in Zurich (ETH). In this model Helbing presented pedestrians in schematic form as disks.

Example of random location of disks in room.
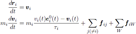
An equation descibing crowd dynamics proposed by professor Helbing has a form:
ri - actual position of disk
i;
vi(t) - certain velocity of disk
i in time
t;
vi(t) - certain desired speed in time
t;
e0i (t) - desired direction in time
t;
mi - mass of disk
i;
τi - relaxation time, a duration of correction of actual velocity into desired velocity;
fij - interaction force disk-disk;
fiW - interaction force disk-wall.
A numerical method used to make computations was Euler method because it was fastest so as so economic and fine for assumptions in research. The main cause of simulations was to find most important criterias affecting the speed of evacuation from room.

Evacuation times for desired speeds
v0 for room with 2 doors having width =
1.5m In research part I did more than 150000 tests of 2 rooms, size of 1-st room is 15 meters × 15 meters and 2-nd rooms size is 25 meters × 30 meters. The smaller room had 1 or 2 or 3 doors in simulations, bigger room had 2 or 3 or 4 doors as a test cases. Another factors included in tests were size of doors and width between them.
After when the simulations were finished, I made rating of rooms, shorter time of evacuation means higher rank.
Rating of rooms (p-value = 0.05)
| Number of doors, (size of doors; width between doors) | Rating points |
| 2 doors, (1.5m; 2.0m) | -16 |
| 2 doors, (1.5m; 3.0m) | -16 |
| 2 doors, (1.5m; 6.0m) | -16 |
| 2 doors, (1.5m; 9.0m) | -16 |
| 2 doors, (1.5m; 14.0m) | -16 |
| 3 doors, (1.5m; 6.0m) | -7 |
| 3 doors, (1.5m; 9.0m) | -7 |
| 3 doors, (1.5m; 2.0m) | -2 |
| 3 doors, (1.5m; 3.0m) | -2 |
| 2 doors, (2.0m; 2.0m) | 3 |
| 2 doors, (2.0m; 3.0m) | 3 |
| 2 doors, (2.0m; 6.0m) | 3 |
| 2 doors, (2.0m; 9.0m) | 3 |
| 2 doors, (2.0m; 14.0m) | 3 |
| 4 doors, (1.5m; 6.0m) | 6 |
| 4 doors, (1.5m; 2.0m) | 8 |
| 4 doors, (1.5m; 3.0m) | 8 |
| 3 doors, (2.0m; 6.0m) | 14 |
| 3 doors, (2.0m; 3.0m) | 15 |
| 3 doors, (2.0m; 9.0m) | 15 |
| 3 doors, (2.0m; 2.0m) | 17 |
Study finds that the biggest influence on the evacuation process have the following:
- size of doors,
- number of doors,
- width between doors.
Study of evacuation dynamics is important for safety in public places. This kind of model can be helpful in designing buildings like airports, sport halls, stadiums, skyscrapers, shopping malls, railway stations, cinemas etc. It can provide architects or engineers or safety specialists with useful information.
Helbing Dirk, Farkas Illés, Vicsek Tamás, Simulating dynamical features of escape panic, "Nature", vol 407 (6803), 2000.
Helbing Dirk, Molnár Péter, Social force model for pedestrian dynamics, "Physical Review E" 51, 1995.
Helbing Dirk, Molnár Péter, Social force model for pedestrian dynamics, University of Stuttgart, II. Institute of Theoretical Physics, 20.05.1998, http://arxiv.org/abs/condmat/9805244v1 [access: 06.01.2013].
Helbing Dirk, Farkas Illés, Vicsek Tamás, Pedestrian Simulation, Simulation: 200 people trying to escape a fire, http://angel.elte.hu/panic/, [access: 10.03.2013].
Helbing Dirk, Farkas Illés, Vicsek Tamás, Pedestrian Simulation, Simulation 3: Herding (p=0.8): Everyone follows the mass, even if it makes fatal mistakes, http://angel.elte.hu/panic/, [access: 17.03.2013].